In recent years, opinion leaders and government officials have called on government agencies to provide readily available and easily accessible information about the agencies' projects, operations and spending. This emphasis on government "transparency" has led to the publication of an increasing range of useful data on Michigan state government. One state agency, however, has bucked this trend: the Michigan Economic Growth Authority.
MEGA is a state "economic development" program run by a board of political appointees and authorized by state government to select businesses to receive credits against the Michigan business tax in exchange for creating or retaining company jobs that allegedly would not exist otherwise. MEGA was established in 1995, and in its early years, the program produced reasonably detailed data on the businesses selected for the tax credits, the jobs created, the total business incentives provided and so on.
In the past few years, however, the information contained in MEGA's various reports has become increasingly vague and incomplete. The total value of MEGA business-tax credits awarded each year to each project is now unavailable, for instance, while the value of any MEGA-related local government business incentives has often been left out of the reports. These and other omissions have made it increasingly difficult to measure MEGA's cost and effectiveness.
This failure in government transparency is ultimately the responsibility of the Michigan Economic Development Corp., a state-chartered entity charged with creating and retaining jobs in the state and with administering the MEGA program. The corporation is subject to government reporting requirements and the Freedom of Information Act.
It is therefore particularly troubling that obtaining explanations of MEGA's various project reports — including an annual report to the Michigan Legislature required by state statute — can require a detailed knowledge of the program's inner workings and weeks of e-mail exchanges and phone calls. A series of basic questions that an MEDC spokesperson encouraged the author to submit remain unanswered more than six weeks after her last e-mail and more than eight weeks since the questions were first submitted.
State legislators from both major parties have decried the MEDC's lack of transparency, and the Michigan Office of the Auditor General has criticized the agency in the past for significant inaccuracies in its reports and for its failure to verify key data. Unsurprisingly, at least one bill currently in the Michigan Legislature would require the MEDC to provide greater disclosure.
MEGA should be subject to a number of reporting mandates, such as regularly publishing for each MEGA deal the value of any local government incentives and any state education-tax abatements, state job-training subsidies and community development block grant infrastructure improvements. MEGA should also be required to publish each month the MEGA jobs tally by year by project for companies that have actually provided jobs and earned MEGA tax credits, and it should report each company's estimated cost disadvantage in locating in Michigan rather than a competing location. In addition, the Michigan Office of the Auditor General should provide annual audits of MEDC job claims, and the MEDC should be required to post its general ledger on the Web. (A full list of recommendations appears in "Michigan's Economic Performance.")
Tracking the progress of the MEDC and of MEGA, the state's highest-profile targeted "jobs program," is particularly important in light of Michigan's economic performance during the last decade. Michigan was ranked 16th among the 50 states in per-capita state GDP in 1999, the year the MEDC was formed and began to administer MEGA; since then, the state has tumbled to 41st. Against this backdrop, state policymakers will need to address MEGA's growing lack of transparency — or consider ending the program altogether.
The need for greater transparency in government programs has been widely recognized. President Barack Obama as a U.S. senator co-authored a law to place more federal spending data online. The Michigan Education Association, the state's largest school employee union, has called for better reports on the results of Michigan's economic development programs.[*] The Mackinac Center for Public Policy, a nonpartisan research and educational institute (and publisher of this Policy Brief), has initiated a "Show Michigan the Money" project that has encouraged scores of the state's municipalities, elected officials and local school districts to place their check registers online. The result of this consensus has been a general increase in the publication of detailed reports on governmental operations.
The trend toward transparent government appears to have been reversed, however, in the case of the Michigan Economic Growth Authority. MEGA is an "economic development" program in which the governor and the Legislature have empowered a board of political appointees to select businesses to receive tax credits against the Michigan business tax in exchange for creating or retaining jobs in their workplace that allegedly would not exist otherwise.[†] MEGA was established in 1995, and in its early years, the program produced reasonably detailed data on the businesses it selected, the jobs created, the incentives provided and so on. In the past few years, this data has become increasingly vague and difficult to obtain.[‡]
A similar loss of transparency appears to be occurring with the organization that oversees MEGA: the Michigan Economic Development Corp., a state-chartered entity charged with creating and retaining jobs in the state. Despite its quasi-private status, the MEDC is subject to government reporting requirements and the Freedom of Information Act. Still, it has become less forthcoming with information about the agency itself and about the high-profile Michigan Film Incentive subsidy, another economic development program under its supervision.
[*] In a May 28, 2009, Detroit Free Press Op-Ed co-authored by economist Patrick Anderson and MEA Executive Director Lu Battaglieri, the authors write of state incentive programs, "[T]axpayers deserve transparency to know that their money is being spent wisely - and right now, no one has the data to say whether or not our tax incentive programs are a smart investment for Michigan's future." (Patrick Anderson and Lu Battaglieri, "Why Are Michigan's Tax Incentives Leaving State So Poor," Detroit Free Press, May 28, 2009, http://www.andersoneconomicgroup.com
[†] Prior to 2007, MEGA tax credits were granted against the state's single business tax, the forerunner to the current Michigan business tax.
[‡] The MEGA enabling legislation was amended for the 20th time on Dec. 30, 2008. Another amendment — House Bill 4922 — would raise the cap on MEGA deals allowed per year and lower eligibility requirements for winning certain MEGA credits.
Although MEGA provides Michigan business-tax credits, the MEDC also arranges for companies receiving MEGA credits to benefit from other government incentives, such as job-training subsidies, infrastructure grants and local property tax abatements. Indeed, under its original authorizing statute, MEGA could provide Michigan business-tax credits only if the local government of the business's municipality provided a business incentive of its own.[*] This local government incentive is frequently the "plant rehabilitation and industrial development" property tax abatement permitted under Public Act 198 of 1974.[†]
Through 2008, the MEGA program agreed to provide, by its own estimates, $3.3 billion in state tax credits, all of which come with additional packages of other state and local incentives.[‡] The tax breaks are conditioned on beneficiaries creating or retaining certain numbers of jobs agreed to in advance.
Determining how many of those jobs have actually been created and the size of the credits granted is central to determining the program's success or failure. Specifically, a number of measures make sense in tracking the program's efficacy:
The number of jobs created or retained for a MEGA project in a particular year and over the life of the agreement. MEGA enters into contracts with various businesses to provide them with Michigan business-tax credits in return for the creation or retention of jobs over an agreed-upon number of years. To gauge the success of a particular agreement, it is necessary to know just how many jobs a business has in fact created or retained during that period, since some businesses do produce the jobs that were originally projected. It is also helpful to know how many jobs may have been created in a particular year, since this can help ascertain the local effect of the MEGA project on jobs in an area.
Note that it is important to know the total tax credits awarded per project. A particular company, such as General Motors or Kmart, may receive a number of MEGA agreements to create or retain jobs at different facilities. To determine the efficacy of a particular agreement, it is necessary to know the jobs created and tax credits awarded for each project — not just to know the total jobs created and tax credits awarded for a given company.
Graphic 1: Breakdown of MEGA Grant Requests
Top Reasons Why Companies Said They
Might Locate or Expand Elsewhere
Source: Mackinac Cdenter calculations based on collected MEGA briefing memoranda, 1995-2004.
For example, a review of statements of cost disadvantages in MEGA "briefing memoranda" (see Graphic 1) permitted a Mackinac Center analyst in 2006 to determine how frequently businesses cited higher taxation, higher labor costs, higher worker compensation costs and so on in claiming the need for offsetting tax credits before locating in Michigan.[1] These are often matter-of-fact statements like, "When comparing the Michigan and Tijuana locations, the company estimates that wage rates in Tijuana are significantly lower."[2] Such information can help state lawmakers determine which tax, regulatory and policy reforms might help Michigan's business climate.
In the past, the data described in the six bullet points above has been available to anyone willing to request and sift through a stack of documents produced by the Michigan Economic Development Corp., the organization that oversees MEGA. Specifically, the documents are:
[*] This requirement was suspended for certain types of MEGA credits in 2004, and it was eliminated altogether in 2008.
[†] MCL § 207.559. In their study "Current Practices and Policy Recommendations concerning Public Act 198 Industrial Facilities Tax Abatements," Gary Sands of Wayne State University and Laura Reese of Michigan State University show that from 1980 through 2001, the popular local tax abatements so frequently used by local units — and employed for MEGA deals — "fail to show a clear, consistent relationship between abatement activity and change in economic health" [emphasis Sands and Reese]. (Gary Sands and Laura A. Reese, "Current Practices and Policy Recommendations Concerning Public Act 198 Industrial Facilities Tax Abatements," (Land Policy Institute, 2007), http://www.mml.org[‡] This tally of MEGA credits may differ from the MEDC's due to differences in methodology. For instance, if MEGA determined that a company failed to meet the requirements of its MEGA agreement, the MEDC historically zeroed out the dollar figures on its "All MEGA Projects" spreadsheet. In contrast, the $3.3 billion figure includes the tax credits pledged in these cases.
[§] Currently, the value of the local property tax abatement or other local subsidy is provided only in the briefing memorandum and in many cases is absent. Previously, this information was available in the briefing memoranda and the MEGA annual report. Ideally, the data provided would explicitly state that this value is not just the number stated in the original agreement, but the amount that was actually awarded. It would also show the amount provided on an annual basis, not just a total. Nevertheless, the data that MEGA provided in the past was helpful, and it was much better than the patchy and sporadic information provided now. See "The Recent Reduction of Information" below.
[¶] Forgone state taxes are generally considered a "cost" by state officials, and to the extent that they are monies that would have otherwise been collected — i.e., in those cases when the firm would have located in Michigan anyway — there is some basis for this view. That said, we would not concede that allowing people to keep more of their own money is somehow a "cost" to the state.
[**] It is worth noting that if forecasters' assumptions about a recipient firm's performance are off, so too are claims that depend on this, particularly "spin-off" (or "indirect") jobs. In an earlier Mackinac Center Study, the authors determined that through 2004, MEGA deals should have produced 127 fully employed facilities. The authors found that only 10 deals produced the number of jobs promised; inevitably, claims of associated spin-off jobs were even more wildly overstated. (See Michael D. LaFaive and Michael Hicks, "MEGA: A Retrospective Assessment," (Mackinac Center for Public Policy, 2005), 22.) In fact, following the compilation of these figures in 2005, several of the 10 "success stories" stumbled badly — Kmart being one of them.
Information on MEGA has never been free or easy to obtain. A government agency can take up to 15 business days to respond to a request under Michigan's Freedom of Information Act and may charge the requester an amount equal to the cost of, in the case of the MEDC, the "lowest-paid MEDC staff capable of performing the tasks to process" the request.[4] At the MEDC, that amount typically exceeds $40 an hour.[5] In the past, however, information was eventually forthcoming.
This has changed for the worse. MEGA's data sources have become much less detailed and helpful in recent years, rendering many measures of MEGA's efficacy impossible to calculate. These changes and their effects on monitoring MEGA's progress are described in the sections that follow.
Graphic 2: Sample Project Description
From 1998 MEGA Annual Report
Source: Michigan Economic Growth Authority, 1998.
The "All MEGA Projects" and "MEGA Credits" spreadsheets have generally been a trove of information on MEGA projects. After 2001, however, the MEDC truncated its "All MEGA Projects" spreadsheet to exclude three useful columns of information.
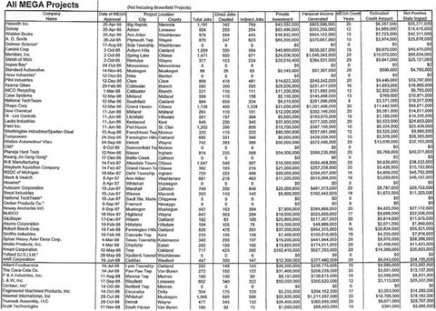
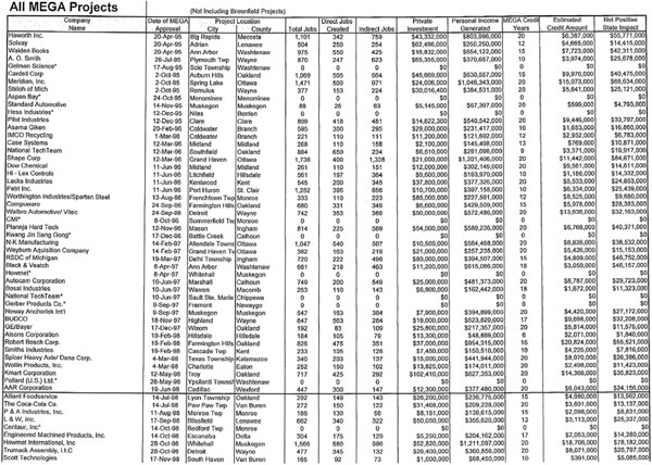
These columns provided the value (if any) of three additional state financial incentives sometimes offered as part of a MEGA deal (excluding the actual MEGA business-tax credits): the state's "job training commitment"; the state's "Community Development Block Grant" commitment; and the "State Ed Tax Amount," a state-level property tax abatement. Graphic 3 is the first sheet of a 2001 "All MEGA Projects" spreadsheet used between 1995 and 2001. Graphic 4 is the first sheet of a 2009 "All MEGA Projects" spreadsheet. Note that several columns of data in the first spreadsheet are missing in the second.
Graphic 3: 2001 “All MEGA Projects” Spreadsheet (Page One)
Source: Michigan Economic Development Corp., 2001.
Graphic 4: 2009 “All MEGA Projects” Spreadsheet (Page One)
Source: Michigan Economic Development Corp., 2009.
At the time, this loss of information was not critical, because other complete sources for the data existed. This is no longer the case now that some briefing memoranda fail to report information consistently and the MEGA annual reports to the Legislature include far less data (see "MEGA's Annual Reports").
Recent changes to the spreadsheets are even more troubling. Current MEGA reports involve older projects in which business-tax credits were granted against Michigan's previous business tax, the single business tax. Under the SBT, there were two ways businesses could earn business-tax credits in a MEGA deal: through jobs added or retained (an employment credit), or through new capital investment (a business-activity credit). The "MEGA Credits" spreadsheet formerly detailed the precise value for each year of a company's employment credit and business-activity credit, but for the past year, this information has been deemed "confidential" by the MEDC, and only a total business-tax credit is provided.[*]
This, too, occurred without warning after some 13 years of releasing the data to the public on request. This data was always vital to analysis of the MEGA program, because it allows an analyst to determine the precise tax revenue forgone as a result of the MEGA credit on a per-project basis.
For example, when Kmart filed for bankruptcy and ultimately moved its headquarters out of Michigan, it was possible to determine precisely what tax relief the firm enjoyed for creating jobs that were ultimately eliminated. Based on data from the discontinued "MEGA Credits" spreadsheet, it is clear that the company received five sets of MEGA credits worth more than $6 million in total over three years, and that after 2003, the company was no longer qualified for the credits.[6] The author has recently been unable to obtain such data from the MEDC, and this informational detail will no longer be available, according to MEDC documents obtained through the Michigan Freedom of Information Act. MEDC employees apparently consider these details confidential because of restrictions in the state Revenue Act.[7]
Moreover, after April 2008, compilation of the "MEGA Credits" sheets was abandoned by the MEDC in favor of a new computer database that omits some previously provided information (such as actual tax relief per company). In addition, the new reports are roughly 400 pages, while the old spreadsheet never exceeded 12 pages and was far more useful.[†]
It is difficult to see why the data previously provided on these spreadsheets was omitted when a new computer software program was adopted. There seems little justification for installing a new system that provides less data and fewer details.
[*] The author last received a report including this information in April 2008.
[†] The last iterations of the earlier spreadsheets, complete with now-unavailable tax relief information per company per year, can be viewed at https://www.mackinac.org
As mentioned earlier, this annual report to the Legislature used to be one of two sources of data concerning local government incentive contributions. This information made it possible to tally the overall government assistance to a MEGA project, not just the value of state-level incentives.
The report no longer provides this information, however, and the briefing memoranda (the other traditional source for such data) have become so much vaguer recently that it is nearly impossible to consistently and confidently measure the total costs of a MEGA deal.
The richly detailed 1998 edition of the annual report can be seen in its entirety at www.mackinac.org/10795. The summary spreadsheet from that 1998 report is reproduced in Graphic 5 to show the detail once provided by the MEDC in its MEGA annual reports. In contrast, the heart of the 2008 annual report is a limited two-page spreadsheet without narrative. Page One of the 2008 report is reproduced in Graphic 6.
Graphic 5: 1998 MEGA Annual Report Summary Spreadsheet
Source: Michigan Jobs Commission, 1998.
Graphic 6: Fiscal 2008 MEGA Annual Report (Page One)
Source: Michigan Economic Development Corp., Oct. 1, 2008.
The full reports are markedly different. The 1998 edition contains a narrative of the company's history and the MEGA deal; an executive summary of the report; the project location, including the city and county; the location of the company's headquarters; the expected total jobs (both direct and indirect) to be created over the life of the deal; the average weekly wage, including the benefit package value as percent of total; the capital investment expected; the estimated net positive state government revenue impact over the life of the MEGA project, showing both the estimated state revenue forgone and the estimated state revenue gained; the projected state personal income generated over the life of each MEGA deal; and the explicit value of the local government's contribution to the MEGA deal through various local government business incentives.
The nine-column 2008 annual report contains only the company name; the company location; the project city; the project county; the company's capital investment; the total years approved (of MEGA credits); the maximum credit authorized; the jobs to be created; and the jobs to be retained.
Note in particular that the "Jobs to be Created" column in the 2008 report does not explain if the figures refer only to workers directly employed by the company, or if the figures also include alleged "spin-off" jobs forecasted by the REMI model and detailed in the MEDC "economic effects" reports. (In contrast, the 2007 report was explicit, labeling the jobs column as "Jobs Impact/Direct Jobs.") I have patiently attempted to clarify the meaning of this "Jobs to be Created" column and acquire an explanation for missing data. Unfortunately, there has been no constructive response to this simple query.[*]
Making matters worse, the columns "of the annual report of the activities of the Michigan Economic Growth Authority to the Michigan Legislature" required by law have actually changed from fiscal 2007 to fiscal 2008, although they were published only six months apart.[†] For instance, the fiscal 2007 report provides the column "Revenue Forgone: (MEGA Costs)," while the fiscal 2008 edition does not have that column. Conversely, the fiscal 2008 report contains several columns that are not found in the 2007 report. For example, the 2008 report contains a column for "Maximum Credit Authorized," a term whose meaning is unclear. The 2008 report also includes a column for "Jobs to be Retained," a term whose meaning seems reasonably clear, but whose purpose is unclear, since this figure did not appear in the 2007 report.
Nor was the 2007 report a model of clarity. A reader cannot tell explicitly, for instance, whether the "Revenue Forgone" column in that report is referring to the amount of tax revenue forgone in fiscal 2007 alone, or to a total amount of tax revenue forgone over the life of the MEGA credits, which could be many years into the future. A close inspection suggests it is probably the latter, but if so, legislators should realize that MEGA is providing the same piece of information as "Estimated Credit Amount" in the "All MEGA Projects" spreadsheet, as "Revenue Forgone/(MEGA Cost)" in the fiscal 2007 annual report, and as "Maximum Credit Authorized" in the fiscal 2008 annual report. In other words, like other elements of the report, this column is inconsistent, unclear and unaccompanied by any explanation. In short, the key component of the annual report to the Michigan Legislature raises more questions than it answers.
The remainder of the annual report lists little more than the company name and top officers at the firms in question, something that wasn't included in the older reports. This new information is trivial in comparison to the information that has been lost.
[*] For example, I telephoned an MEDC spokesperson on June 1, 2009, and asked if it would be acceptable to submit questions directly to her. I expressed my concern that some of my questions simply could not be answered using the Freedom of Information Act, but could be answered directly and quickly by a spokesperson. (Admittedly, I also harbored concerns that the MEDC might claim the 10 business-day extension allowed under FOIA law and then either send documents too vague to assist me or respond — as frequently occurs — that "no such documents exist." The spokesperson encouraged me to submit my questions in writing, and I did.
By June 12, I had not received a response from the MEDC. I followed up on my request with a voicemail and e-mail to the spokesperson, hoping for answers to my questions. I received a response by e-mail later the same day, after normal business hours. The e-mail read:
"We've had several similarly worded questions and requests come in multiple ports of entry recently from you/your staff and it's caused some confusion as to who's responding, whether they're currently in the FOIA queue or if they've already been handled. We don't' [sic] want to waste your time nor duplicate efforts on our end, so we'll be sorting through these early next week, cross checking for duplicate inquiries, reconciling with pending FOIA requests, etc. and then will get back to you."
I responded the following Tuesday: "I received your Friday e-mail. Naturally, I am a bit disappointed, since my questions were submitted to you on June 1. When might I expect a response this week based on your meeting? Today? Tomorrow?" As of July 28, six weeks later, the spokesperson had not responded.
A larger sample of the correspondence described above appears in "Appendix B: A Sample of Correspondence With the MEDC."
[†] There is nothing to indicate in the MEGA annual reports for fiscal 2007 and fiscal 2008 why the 2007 report was issued in April 2008, more than six months after the close of fiscal 2007, while the report for fiscal 2008 was published just one day after the close of fiscal 2008. This disparity meant that the two reports were issued just six months apart.
As noted in the preceding sections, nearly every major document furnishing important information about the MEGA program has become less detailed and less useful. Graphic 7 helps indicate what information is no longer available.
Graphic 7: Sources of MEGA Data, Past and Present
The first column of the graphic lists the information in essentially the same categories that appear in "Measuring MEGA's Efficacy" above. In Graphic 7, the columns "Previous source document" and "Current source document" refer, respectively, to where the information was originally located and to where the information is now located — if it is available at all.
Note that in several instances, the "current source" column indicates a particular piece of information is available only a certain percentage of the time (the percentage is calculated for MEGA briefing memoranda produced from July 2008 to December 2008). The percentages range from 8 percent, for local property tax abatements, to 73 percent, for other state business incentives other than MEGA's Michigan business-tax credits. All of these figures used to be 100 percent.
As the graphic makes readily apparent, much of the basic, necessary information about MEGA is now unavailable or no longer readily accessible.
Concerns over the omissions and reductions of information at MEGA are heightened by the MEDC's past track record in providing accurate and timely information.
Criticism of the MEDC itself has been bipartisan. During the administration of Gov. John Engler, Democratic Party members expressed pointed concerns about the inability of the Legislature to provide proper oversight of the MEDC.
According to a February 1999 Gongwer News Service article concerning the Michigan Jobs Commission, the predecessor to the MEDC, then-state Sen. Alma Smith, D-Salem Township, complained about the transparency problem, saying, "I don't think the Legislature should have to FOIA a department or agency to find out how money is spent."[8] Smith — now a state representative — has remained a consistent critic of the MEDC. In 2009, when asked by the Michigan Information & Research Service what she would do if she were elected governor, she replied: "One of the early things I would do is reorganize the MEDC (Michigan Economic Development Corporation). I have a problem with the unlevel playing field we create from business to business in Michigan, where we create some winners and some losers."[9]
There have been other Democratic critics as well. In 2000, state Rep. Joseph Rivet, D-Bay City, echoed Rep. Smith's sentiments and argued that the MEDC should lose its state funding, telling the Lansing State Journal, "Every time we try to hold these guys at MEDC accountable to the taxpayers, they claim to be a private agency outside the realm of public scrutiny."[10] Rivet was particularly angered by a Lansing State Journal report that the MEDC had bought each of its employees three monogrammed shirts from an out-of-state vendor. The purchase was apparently made to "boost morale"[11] and market the MEDC.
After Gov. Jennifer Granholm was sworn into office, members of the GOP sought greater transparency from the MEDC, most notably state Rep. Jack Brandenburg of Harrison Township. A frequent critic of the MEDC, Rep. Brandenburg called for its outright elimination in 2007. He argued that the MEDC was ineffective, contrasting the state's poor economic performance with the corporation's supposed success. He also complained that the MEDC was top-heavy with management, calculating that it had one vice president for every 10 employees at the time.[12]
To make the MEDC more transparent, Brandenburg successfully inserted two mandates into state law in 2006: a requirement that the MEDC cooperate with the Michigan Office of the Auditor General on audits of jobs the corporation had claimed to have created or influenced, and a requirement that the MEDC report annually to the Legislature how many of its staff made more than $80,000 per year.[*]
Republican state Sen. Nancy Cassis of Novi has likewise sponsored several pieces of legislation that would require additional information from MEGA. Senate Bill 71 would make MEGA more transparent and appears to address some of the concerns expressed earlier. For example, a summary of the legislation outlined by the nonpartisan Senate Fiscal Agency indicates that Senate Bill 71 would:
According to the SFA, Senate Bill 71 would also require the following in addition to the data that already must be included in the MEGA annual reports:
The legislation passed the state Senate Feb. 12, 2009, and was ultimately referred to the state House New Economy and Quality of Life Committee on Feb. 18.[15]
The state Office of the Auditor General, a nonpartisan government agency, has also expressed concerns about the job creation figures reported by the MEDC and its alter ego, the Michigan Strategic Fund. In 1993, the Michigan Strategic Fund was found by the OAG to have "overstated by 39 percent, the number of jobs created by the selected companies that received financial assistance from ... two programs [the MSF administered] in its 1991 annual report to the Legislature."[16]
Then, in August 2003, the OAG examined a job-training program administered by the MEDC. Although the program had been alleged to have created 635 jobs, the OAG found that total employment had actually decreased by 222. The OAG criticized the MEDC for not independently verifying jobs claims submitted to the MEDC by companies that had received job-training subsidies. These errors were discovered after a review of one small MEDC program.[17]
[*] In a subsequent budget year, Gov. Granholm recommended that both provisions be eliminated. The first provision was later weakened, but ultimately restored, while the second was eventually removed altogether. (Elizabeth Pratt and Maria Tyszkiewicz, "FY 2007-08 Michigan Strategic Fund Budget S.B. 239: Governor's Recommendation," (Michigan Senate Fiscal Agency, 2007).)
The MEDC has not just filed inaccurate reports; it has also made questionable claims. For instance, in a November 2004 Op-Ed in Business Direct Weekly, former MEDC Chief Executive Officer Donald Jakeway asserted that the MEGA program had created more than 28,800 jobs.
The number was implausible given the MEDC's other published data, but obtaining an explanation for the discrepancy launched me on a months-long odyssey of requests for information.[18] Ultimately, a legislative subcommittee of the Michigan House felt moved to ask Jakeway to respond.
He eventually complied, and I was able to determine that the MEDC had produced Jakeway's 28,800 job figure by using an estimated REMI job multiplier out of context. For a detailed explanation of the problems with the jobs figure and my extended endeavors to procure information from the MEDC, see Pages 23-25 and Appendix B of the Mackinac Center Policy Study "MEGA: A Retrospective Assessment."[19]
The five months it took to obtain the truth about Jakeway's claims made it difficult for policymakers and taxpayers to assess MEGA's real impact. Jakeway's flawed figures received public attention, while a discussion of the problems with those figures received little or none.
Indeed, this delay raises a key concern. If an agency finds that it can release optimistic but dubious claims that cannot be investigated without weeks of FOIA requests and phone calls, the agency will reap false public relations victories that may never be publicly exposed as hollow. In effect, there would be no penalty — and indeed, there would be an incentive — for the agency to make exaggerated claims and then drag its feet in answering information requests from policymakers, reporters and residents attempting to determine the truth.
As noted earlier, persistent delays have become a problem at MEGA. Some sense of the difficulty can be gleaned from the author's correspondence with the MEDC concerning the meaning of the phrase "Jobs to be Created" in MEGA's new spreadsheets. Parts of that correspondence are reproduced in "Appendix B: A Sample of Correspondence With the MEDC."
Concerns over transparency in the MEGA program involve more than an insistence on accepted norms of good government. Assessing the program's effectiveness, especially in light of some its less credible claims, has become increasingly important given the state's recent economic decline.
For much of the new millennium, Michigan has been an economic laggard, while the national economy has expanded. From 2002 to 2007, Michigan's real state gross domestic product declined by 1.7 percent, while the average U.S. state's real gross domestic product expanded by 14.4 percent.[20]
Michigan was ranked 16th among the 50 states in per-capita state GDP in 1999,[21] the year the MEDC was formed; ironically, it has since tumbled to 41st.[22] During that time, the state has lost a staggering 728,100 jobs — though to be fair, many of these were lost in recent months, during the general national economic decline.[23]
Against this backdrop, the priorities of the MEDC have sometimes seemed as questionable as its approach. In 2002, the MEDC explicitly stated in a published brochure that its first goal that year was its own survival — specifically, to "Ensure the Continuity of the MEDC."[24] This goal effectively elevated the retention of MEDC jobs above the retention of jobs for state taxpayers.[*]
The possibility that the MEDC might pursue political goals, rather than economic gains, is one reason why good public policy requires that the MEDC become more transparent. Another is simply determining whether MEGA and other MEDC programs work.
These concerns lead to a number of policy recommendations.
[*] This grim outlook stands in stark contrast to the MEDC's optimistic beginnings and its mission of keeping "good jobs in Michigan and attracting more of them." Indeed, on the MEDC's first day of operations, new Board Vice President Beth Chapelle was quoted in the Michigan Information & Research Service's MIRS Capitol Capsule as saying, "This new structure will enable us to have an even quicker, more flexible economic development focus." She added, "Ultimately, that means more jobs." ("Michigan Economic Development Corp Begins Operations," Michigan Information & Research Service, April 5, 1999.)
The withheld MEGA information is critical. Without this data, it becomes increasingly difficult to determine whether MEGA actually stimulates economic growth and represents a worthwhile investment of state resources.
Such a lack of transparency cannot benefit the public; it can benefit only those who profit directly from the existence of the program, beginning with MEDC officials themselves. In this sense, MEGA's loss of transparency becomes an inversion of the principle that government exists to serve the people, not the other way around. As James Madison put it:
"A popular Government, without popular information, or the means of acquiring it, is but a Prologue to a Farce or a Tragedy; or, perhaps both. Knowledge will forever govern ignorance: And a people who mean to be their own Governors, must arm themselves with the power which knowledge gives."[25]
State policymakers serious about serving the public will need to address MEGA's growing lack of transparency — or consider ending the program altogether.
In light of the growing secrecy surrounding the Michigan Economic Growth Authority, the Mackinac Center has posted on its Web site a public database on MEGA-related deals. The database, posted at https://www.mackinac.org
The data go back to April 1995 and it will be updated by Center staff on a regular basis. The database consists of the primary informational paperwork for each MEGA deal, including:
Here's an example of one way the database can be useful: Consider the announcements that Lear, Visteon and Metaldyne corporations have filed for bankruptcy. Reporters, legislators, bloggers and taxpayers can learn from the database that all three firms had been declared MEGA "winners" by the Authority's board and the MEDC. (General Motors itself has probably achieved MEGA's all-time "winner" status, having been offered a record 10 deals.)
From the database, users could also discover that failure to achieve job goals was not a new thing for these firms, and that MEGA officials erroneously predicted that the 2001 Visteon deal would result in 75 net new jobs by 2005[26] and 475 new jobs by 2008.[27] University of Michigan economists, under contract with the state to forecast the "spin-off" jobs associated with the deal, predicted that the economic activity surrounding this deal would result in 808 new jobs through 2016.[28]
See Graphic 8 for output from MEGA's "economic effects" report for Visteon. These figures provide a baseline for determining Visteon's success or failure after it received its MEGA deal.
Graphic 8: Sample “Economic Effects” Report (Visteon Corp.)
Source: Michigan Economic Development Corp., 2001.
In particular, look at the predictions of year-by-year job creation. We now know that in reality, each of these lines in the original report should have said "0." (Arguably, the numbers should even be negative, because the state spent millions for road improvements specifically benefitting the firm — money that could have been spent creating actual jobs elsewhere.)
Under the terms of MEGA agreements with firms, tax credits are delivered as rewards for actually creating promised jobs. Visteon never collected a single one of those tax credit rewards, because it never created any of the promised jobs. As shown in the MEDC summary "MEGA Credits" spreadsheet[29] and "MEGA Credits vs. Conversions — All Companies for all Years"[30] report, the record is clear, though the former spreadsheet is easier to read. We have posted a copy on the Center Web site as an example.
Despite the fact that Visteon claimed no credits, this MEGA deal wasn't "free" to taxpayers. As mentioned, part of the agreement included the MEDC using its authority to arrange up to $5 million in road improvement work at the new Visteon facility.[31]
Moreover, the MEGA statute originally mandated that local units of government make incentive contributions too. As part of the Visteon deal, Van Buren Township offered property tax relief worth up to $31.1 million over 12 years,[32] and Visteon was able to start claiming that relief immediately for a jobs deal that failed to materialize.[*] To date, Visteon has enjoyed more than $9.6 million[33] in local abatements resulting from the failed MEGA deal.
Of course, MEGA's poor performance in these cases has been influenced by the general decline in the automobile industry. Still, the job of MEGA and the MEDC is to assess the marketplace and determine which businesses to help in order to promote state economic growth. It hardly reflects well on the program that MEGA officials and state-hired economists, who sometimes provide MEGA forecasts stretching out 20 years, cannot envision MEGA firms filing for bankruptcy as little as 15 months after winning a MEGA deal, as occurred with Kmart.
The preceding suggests why a database like the one created by the Mackinac Center is desirable — and why government transparency on the MEGA program should remain a priority for policymakers.
[*] This was not the only MEGA agreement with which Visteon was associated. In 2004, MEGA offered a deal to Atlantic Automotive Components LLC, a company that was 70 percent owned by Visteon, according to MEDC documents. This firm too has been unable to collect on the employment tax credit it was offered.
The e-mails below show correspondence between the author and an MEDC public relations officer concerning several questions the author had about recent MEGA reports. One of these questions involved the meaning of "Jobs to be Created" data (see the discussion under "MEGA's Annual Reports to the Michigan Legislature" in the main text above — particularly the first footnote). Although the final e-mail is dated June 16, no MEDC official has responded as of July 28.
From: LaFaive, Michael D.
Sent: Monday, June 01, 2009 4:29 PM
To: 'beckmanb1@michigan.org'
Subject: Questions
Importance: High
Trace Graham:
Are MEDC (including "Corporate") expenditures fed into the state's MAIN computer system? In 1999 the then spokesman James Tobin said they would be excluded from the system.
Does the MEDC need to run its contracts through the State Administrative Board for approval? That was not the case in 2000 and I have seen nothing to suggest a change mandating that they be run through the State Administrative Board.
All MEGA Projects Spreadsheet and MEGA Credits spreadsheet had been abandoned in April 2008 according to past correspondence with Trace Graham.
The fiscal 2008 annual report, published in October is almost identical to the All MEGA Projects Spreadsheet. Who is responsible for creating this spreadsheet and why would it be so hard to update this monthly for those request it? Can that be done for us? Only three columns are really missing when you compare it with the All MEGA Projects Spreadsheet.
On the annual report to the legislature regarding the MEGA program (see attached) there is a "jobs to be created" column, which is good. But it doesn't say whether those are direct, indirect, or both. Can you clarify what that represents please?
I have been informed that the per-company detail for the value of abatements received by company and by year are now considered confidential and that this order came from Treasury. Can you please tell me who gave this order and why, after 13 years such data must be held in confidence?
Why do the columns in the April 2008 and October 2008 annual reports to the legislature actually change? For instance, the last column in the April spreadsheet reads "Revenue Foregone: MEGA Costs" and the October edition does not have that column.
Moreover, is this EXPECTED revenue foregone or actual? I find it hard to believe that 100 percent of the deals that took place during the period. OR...
Does this report represent ONLY those MEGA deals that resulted in claimed credits? You will notice that the October 2008 doesn't have a column for foregone revenue.
Does the MEDC/MEGA maintain a document or documents that tracks the precise incentives offered up by local units of government? I used to pull them from annual reports and Briefing Memos but the numbers aren't in the annual reports anymore and the briefing memos have become increasingly vague-perhaps that's on purpose.
Thank you for your time and attention in these matters.
Michael LaFaive
Director
Morey Fiscal Policy Initiative
Mackinac Center for Public Policy
Phone 989-631-0900
Fax 989-631-0964
E-mail: lafaive@mackinac.org
www.mackinac.org
www.michiganvotes.org
From: LaFaive, Michael D.
Sent: Thursday, June 11, 2009 3:30 PM
To: 'beckmanb1@michigan.org'
Subject: Questions
Importance: High
Bridgett,
Regarding the MEGA program: Does your new database system down there give you the ability to extract the value of local incentives offered by some local unit/agency as part of the overall MEGA deal in a report that I could request through FOIA? Typically, these incentives come in the form of property tax abatements, but not always. I've seen local incentives that included landscaping and golf members too. If it does not, is it tracked in a way that would allow me to obtain the data in some other format? For that matter, the same question applies to subjects such as the state's CDBG/RF commitment, any state education property tax relief and job training commitment.
You may recall that I had long been waiting for whatever new software was going to allegedly replace the "All MEGA Projects" and "MEGA Credits" spreadsheets used by MEDC/MEGA. In response to my requests I was sent a 300+ page report that contained a lot of data found in the "MEGA Credits" spreadsheet (but not all), and an even smaller percentage of what could be found in the "All MEGA Projects" spreadsheet.
I suspect you'll have to talk to your computer guys — Eric Hanna? — before you can get back to me.
I thought it might be easier to contact you or Eric directly for answer, rather than issue a FOIA. I'll call too, just to see if you need any clarification.
Michael LaFaive
Director
Morey Fiscal Policy Initiative
Mackinac Center for Public Policy
Phone 989-631-0900
Fax 989-631-0964
E-mail: lafaive@mackinac.org
www.mackinac.org
www.michiganvotes.org
From: LaFaive, Michael D.
Sent: Friday, June 12, 2009 12:15 PM
To: 'beckmanb1@michigan.org'
Subject: Return 1:30
Hi, Bridgett,
My voicemail to you said I'd be back at 1:00.
Actually, it has been extended to 1:30.
If you could call me after 1:30 I would appreciate it.
Thanks.
Michael LaFaive
Director
Morey Fiscal Policy Initiative
Mackinac Center for Public Policy
Phone 989-631-0900
Fax 989-631-0964
E-mail: lafaive@mackinac.org
www.mackinac.org
www.michiganvotes.org
From: Bridget Beckman [mailto:beckmanb1@michigan.org]
Sent: Friday, June 12, 2009 5:36 PM
To: LaFaive, Michael D.
Subject: RE: Return 1:30
Hi Mike,
We've had several similarly worded questions and requests come in multiple ports of entry recently from you/your staff and it's caused some confusion as to who's responding, whether they're currently in the FOIA queue or if they've already been handled. We don't want to waste your time nor duplicate efforts on our end, so we'll be sorting through these early next week, cross-checking for duplicate inquiries, reconciling with pending FOIA requests, etc. and then we'll get back with you.
Thanks.
Bridget
From: LaFaive, Michael D.
Sent: Tuesday, June 16, 2009 11:50 AM
To: 'beckmanb1@michigan.org'
Subject: Email
Bridget,
I received your Friday e-mail. Naturally, I am a bit disappointed, since my questions were submitted to you on June 1.
When might I expect a response this week based on your meeting? Today? Tomorrow?
The good news is that after months of being told that "All MEGA Projects" spreadsheet no longer exists, we learned yesterday that it is still maintained. That's good news for all of us.
Michael LaFaive
Director
Morey Fiscal Policy Initiative
Mackinac Center for Public Policy
Phone 989-631-0900
Fax 989-631-0964
E-mail: lafaive@mackinac.org
www.mackinac.org
www.michiganvotes.org
1 Michael D. LaFaive and James Hohman, "MEGA Grant Requests: What Companies Say," (Mackinac Center for Public Policy, 2006), (accessed July 24, 2009).
2 Mark Morante and Toni Brownfield, memorandum with Michigan Economic Growth Authority, January 16, 2007.
3 MCL § 207.810.
4 Adam Robach, Freedom of Information Act correspondence with James Hohman, July 22, 2009.
5 Ibid.
6 Trace Graham, Freedom of Information Act correspondence with James Hohman, April 3, 2008.
7 Karla Campbell, e-mail correspondence with Trace Graham and Mark Morante, February 13, 2009.
8 "Report: Tracking Jobs Commission Spending to Become More Difficult," Gongwer News Service, February 19, 1999.
9 "An Interview With Alma Wheeler Smith," Michigan Information & Research Service, July 2, 2009.
10 Paul Egan, "Democrats: MEDC Should Lose State Funds," Lansing State Journal, Feb. 12, 2000, 1A.
11 Ibid., 5A.
12 "Brandenburg: Big Cuts Possible for MEDC," Gongwer News Service, April 20, 2005.
13 Suzanne Lowe, "MEGA: Annual Report -- S.B. 71 (S-1) Summary as Passed by the Senate," ed. Michigan Senate Fiscal Agency (Michigan Senate Fiscal Agency, 2009), 1.
14 Lowe, "MEGA: Annual Report -- S.B. 71 (S-1) Summary as Passed by the Senate," 2.
15 "State of Michigan Journal of the House of Representatives: 95th Legislature, Regular Session of 2009," (2009), 167.
16 "Performance Audit of the Michigan Strategic Fund Oct. 1, 1988 Through Oct. 31, 1992," (Michigan Office of the Auditor General, 1993), ii.
17 "Performance Audit of Selected Training Related Programs: Michigan Economic Development Corporation," (Michigan Office of the Auditor General, 2003), 13.
18 LaFaive and Hicks, "MEGA: A Retrospective Assessment," 98-102.
19 Ibid., 23-25.
20 Author's calculations based on "Bureau of Economic Analysis Regional Economic Accounts: Gross Domestic Product by State," Bureau of Economic Analysis, http://www.bea.gov
21 Ibid.
22 Ibid.
23 Author's calculations based on "State and Area Employment, Hours, and Earnings: Michigan (Statewide, Total Nonfarm, Seasonally Adjusted)," Bureau of Labor Statistics, http://data.bls.gov
24 Rick Haglund, "Will Agency Survive under New Governor?," The Grand Rapids Press, November 7, 2001.
25 James Madison, "Letter to W.T. Barry," in The Founders' Constitution (University of Chicago Press, 1822).
26 "Adopted Minutes," ed. Michigan Economic Growth Authority (2001).
27 George A. Fulton, Ph.D., Peter Nicolas, and Donald R. Grimes, "The Economic Effects on Michigan of the Visteon Corporation Location Decision," (University of Michigan, 2001).
28 Ibid.
29 Graham.
30 "MEGA Credits vs. Conversions - All Companies for all Years," (Michigan Economic Development Corporation, 2009).
31 Kathy Blake, MEDC senior vice president, business development, correspondence ("Briefing Memorandum - Visteon Corporation") with Michigan Economic Growth Authority, November 13, 2001.
32 Ibid.
33 Susan Ireland, e-mail correspondence with Michael D. LaFaive, June 1, 2009.